Cymru yn Horizon Ewrop 2021 i 2023
Adroddiad ar lwyddiant sefydliadau sydd wedi derbyn cyllid gan Horizon Ewrop a'r cynnydd a wnaed ar ein hamcanion.
Efallai na fydd y ffeil hon yn gyfan gwbl hygyrch.
Ar y dudalen hon
Rhagair
Mae cyfranogiad Cymru yn rhaglen Horizon Ewrop yr UE yn rhoi cyfle i brifysgolion, busnesau a sefydliadau eraill yng Nghymru ymuno â’u cymheiriaid o bob cwr o’r byd. Mae'r rhaglen yn gwthio ffiniau gwyddoniaeth ac yn mynd i'r afael â'r heriau mwyaf, megis newid hinsawdd a chystadleurwydd diwydiannol ym maes technolegau newydd. Mae’r rhaglen yn hwyluso cyfnewid gwybodaeth a phobl ar draws ffiniau. Mae’n galluogi busnesau i gael eu gwreiddio yng nghadwyni cyflenwi’r dyfodol. Mae Cymru ac Ewrop mewn byd cystadleuol yn fyd-eang sy'n wynebu llawer o heriau; gall gwaith ymchwil ac arloesi rhyngwladol fod yn rhan o'r ateb.
Pan oedd y DU a’r UE mewn trafodaethau ynglŷn â pherthynas newydd yn 2020, roeddem ni yn Llywodraeth Cymru yn glir ein bod yn gweld manteision parhau i gymryd rhan yn rhaglenni’r UE. Nid oes fawr ddim amheuaeth nad yw’r oedi cyn cadarnhau aelodaeth gyswllt y DU o Horizon Ewrop wedi achosi braw diangen, a gwnaethom groesawu’r cadarnhad ym mis Ionawr 2024. Bydd angen aros blwyddyn neu fwy cyn inni allu gwerthuso’r cynnydd mewn ceisiadau o’r sylfaen isel bresennol (tua hanner ein lefel gyllido hanesyddol). Fel y mae’r adroddiad hwn yn ei ddangos, ceir rhai arwyddion cadarnhaol; mewn rhai cystadlaethau mawreddog, mae ein busnesau a’n hacademyddion wedi gwneud hyd yn oed yn well nag yn Horizon 2020. Fodd bynnag, mae prosiectau cydweithredol wedi wynebu anawsterau.
Drwy gydol y cyfnod diweddar o negodiadau, mae Llywodraeth Cymru a’r partneriaid rydym yn gweithio gyda nhw wedi cynnal rhwydweithiau rhyngwladol ac wedi ailfeithrin ymddiriedaeth. Gwnaethom gyhoeddi ein Strategaeth Ryngwladol, sy’n dangos bod Cymru’n benderfynol o fod yn genedl allblyg. Mae ein Strategaeth Arloesi ddiweddar yn cydnabod pwysigrwydd y cyd-destun rhyngwladol. Mae swyddfeydd tramor Llywodraeth Cymru wedi bod chwilio am gyfleoedd i gydweithio. Gwnaeth yr ymrwymiad gwerth £65 miliwn i raglen gyfnewid ar gyfer dysgu Taith ddangos ein hymrwymiad i symudedd a rhwydweithiau. Mae cyllid Cymru Ystwyth Llywodraeth Cymru wedi meithrin a sbarduno cydberthnasau ag amrywiaeth o wledydd, yn enwedig Iwerddon. Mae Llywodraeth Cymru wedi gweithio ar femoranda cyd-ddealltwriaeth newydd a rhai a oedd eisoes yn bodoli, gan gynnwys gyda Silesia yng Ngwlad Pwyl yn fwyaf diweddar. Rydym yn chwarae rhan weithredol mewn rhwydweithiau megis rhaglen ryngranbarthol Menter Vanguard. Hefyd, bydd Llywodraeth Cymru bellach yn cynrychioli Rhwydwaith Menter Ewrop yng Nghymru, a fydd yn ein galluogi i ddefnyddio rhwydweithiau rhyngwladol er budd busnesau yng Nghymru. Bydd hyn hefyd yn dyfnhau ein cydweithrediad gwerthfawr ag Innovate UK.
Mae’n bwysig bod pob llywodraeth, busnes, sefydliad nid-er-elw ac ymchwilydd galluog yn ymwybodol o Horizon Ewrop ac yn cymryd rhan yn rhyngwladol lle bynnag y bo modd. Ni ddylem fod yn ddall i’r risgiau sy'n gysylltiedig â chydweithio ond, drwy weithio gyda gwledydd o’r un anian mewn rhaglen a gaiff ei rheoleiddio’n dda, byddwn yn lleihau llawer o’r risgiau hynny.
Hyd yn oed wrth inni ddechrau gwneud y gorau o’r aelodaeth gyswllt â Horizon Ewrop, rydym yn ymwybodol bod dadleuon yn mynd rhagddynt ynghylch y rhaglen olynol. Mae llawer o gynnydd wedi cael ei wneud tuag at gyfraniad byd-eang gwledydd o’r un anian: mae Canada, Seland Newydd a De Korea wedi dod yn aelodau cyswllt. Byddwn yn pwyso am sefyllfa lle mae pawb ar eu hennill a fydd yn rhoi Cymru a’r UE ar flaen y gad mewn byd tecach, iachach a mwy ffyniannus a chynaliadwy. Ni all Ewrop fforddio llithro ar ei hôl hi. Mae angen ymdrech unedig â ffocws pendant gan wledydd o’r un anian er mwyn gallu cystadlu'n economaidd, a heb hynny mae’n llawer anoddach mynd i’r afael â heriau eraill.
Y dasg sy'n ein hwynebu ar unwaith yw gwneud aelodaeth gyswllt yn llwyddiant y gellir adeiladu arno. Fel y dywedodd y Comisiynydd Ewropeaidd ar gyfer Ymchwil ac Arloesi yn syml ac yn glir ar ei hymweliad â Llundain: gwnewch gais!
Cyflwyniad
Heriau a chryfderau
Horizon Ewrop yw’r rhaglen ymchwil gydweithredol ryngwladol fwyaf yn y byd.
Ar 1 Ionawr 2024, wyth mlynedd ar ôl pleidlais Brexit a thair blynedd ar ôl i’r UE a'r DU ddrafftio telerau’r aelodaeth gyswllt, ymunodd y DU â’r rhaglen yn swyddogol.
Mae Horizon Ewrop yn werth tua £80 biliwn i gyd. Ar ben hynny, disgwylir i’r DU gyfrannu tua £2 biliwn y flwyddyn. Am bob Ewro y bydd y rhaglen yn ei wario, amcangyfrifir y bydd hynny'n arwain at werth 5 Ewro o fuddion i ddinasyddion hyd at 2040.
Mae'r cyfle hwn yn rhy fawr i'w anwybyddu – rhaid i ymchwilwyr a sefydliadau sydd ar flaen y gad yn eu meysydd o leiaf ystyried a yw'r rhaglen yn addas iddyn nhw.
Gan fod grant Horizon cyfartalog yn werth £450,000 i dderbynnydd yn y DU a £3 miliwn i brosiectau cyfan, mae’r rhaglen yn cynnig cyfle enfawr. Yn wahanol i lawer o gronfeydd eraill, mae Horizon Ewrop ar agor i unrhyw fath o sefydliad, ar yr amod ei fod yn gallu gwthio ffiniau dealltwriaeth pobl a rhoi’r wybodaeth honno ar waith er budd cymdeithas. Mae Horizon Ewrop hefyd yn wirioneddol ryngwladol, gan roi cyfle i ymchwilwyr weithio’n hyderus ochr yn ochr â chydweithwyr o bob rhan o Ewrop, a llu o wledydd eraill fel Seland Newydd, Canada, Israel a De Korea.
Mae ein perfformiad hyd yma yn dangos bod ein hymchwilwyr a’n busnesau yn gwneud yn dda mewn rhannau o’r rhaglen nad ydynt yn gydweithredol. Mae gwaith i’w wneud o hyd ar gyfraddau llwyddiant, ond mae Cymru’n cyflwyno mwy na 5% o gynigion Gwyddoniaeth Ragorol y DU. Mae cydweithio wedi dioddef mwy yn sgil yr ansicrwydd – mae mwy i’w wneud er mwyn ymuno â’r rhwydweithiau perthnasol.
Mae gan Gymru lawer i’w gynnig drwy gydweithio. Yn Horizon 2020, cymerodd sefydliadau yng Nghymru ran mewn prosiectau gwerth €2.5 biliwn, a oedd yn cynnwys 81 o wledydd a grantiau pontio gwerth tua €153 miliwn i Gymru (gweler ein Hadroddiad ar Horizon 2020). Mae gan Gymru waith ymchwil ac ymarfer arloesol mewn amrywiaeth o feysydd, gan gynnwys iechyd, cemeg, ecoleg, ffiseg, electroneg, gweithgynhyrchu a llawer mwy.
Daw’r rhan fwyaf o ddata Horizon o Gynigion Ymchwil ac Arloesi Dangosfwrdd Horizon y Comisiwn Ewropeaidd (Porth Cyllid a Thendrau’r UE (europa.eu) sy’n cyflwyno data cyfanredol ar gynigion wedi’u gwerthuso mewn rhaglenni Ymchwil ac Arloesi (lanlwythwyd ddiwethaf ar 14 Mehefin 2024). Mewn rhai achosion, mae data cyfanredol eCORDA wedi cael eu defnyddio a chyfeirir atynt yn yr adroddiad. Mae’r ystadegau wedi cael eu gwirio i sicrhau eu bod mor gywir â phosibl, ond dylid nodi ei bod yn anochel y gall mân wallau ddigwydd wrth brosesu setiau data gweinyddol mawr.
Mae gen i ddiddordeb; beth allaf i ei wneud?
- Mae Porth Cyllid a Thendrau’r UE yn siop un stop dda.
- Mae ein calendr galwadau yn rhestru galwadau.
- Gall Pwyntiau Cyswllt Cenedlaethol roi cymorth pellach.
- Ewch i’r diwrnodau gwybodaeth disgwyliedig ar gyfer cyfleoedd 2025.
- Caiff gweminarau UKRI eu cynnal bob mis er mwyn i bobl ofyn cwestiynau cyffredinol.
- Os ydych chi mewn prifysgol neu sefydliad mawr, mae'n bosibl bod gennych arbenigwr cyllid Ewropeaidd mewnol.
- Mae Uned Horizon Ewrop Llywodraeth Cymru ar gael i helpu.
- Tanysgrifiwch i'n ffrwd X a’n cylchlythyr er mwyn cael y wybodaeth ddiweddaraf, yn ogystal â gwybodaeth gan y pwynt cyswllt cenedlaethol thematig perthnasol.
- Cofrestrwch â’r Comisiwn Ewropeaidd fel arbenigwr
- Gweler Atodiad 1 am ragor o wybodaeth.
| Safle | Gwlad | Cysylltiadau cydweithio rhyngwladol |
|---|---|---|
| 1 | Sbaen | 152 |
| 2 | Yr Almaen | 145 |
| 3 | Yr Eidal | 130 |
| 4 | Yr Iseldiroedd | 80 |
| 5 | Gwlad Belg | 58 |
| 6 | Ffrainc | 56 |
| 7 | Awstria | 42 |
| 8 | Portiwgal | 40 |
| 9 | Sweden | 38 |
| 10 | Denmarc | 35 |
Mae cydgysylltwyr (arweinwyr consortia) prosiectau cydweithredol yng Nghymru wedi’u gwasgaru’n eang, a dim ond dau ranbarth sy’n cydgysylltu mwy na dau brosiect: Cwlen a Lombardia.
Drwy weithio mewn partneriaeth a chyflawni ar raddfa gyfandirol, gallwn fynd i’r afael â’r heriau byd-eang sy’n effeithio ar bob un ohonom.
Yn Horizon Ewrop hyd yma, mae Cymru wedi cydweithio â 53 o wahanol wledydd, gan greu mwy na 1,000 o gysylltiadau cydweithredol.
Mae’n werth nodi bod y DU ei hun yn bartner cryf i Gymru yn Horizon Ewrop, gan ei bod yn bedwerydd ar y rhestr o wledydd sy’n cydweithio â ni.
Prifddinasoedd yw llawer o'r rhanbarthau rydym yn cydweithio fwyaf â nhw, a hynny o bosibl am mai dyna ble mae pencadlysoedd sefydliadau ymchwil cenedlaethol (a sefydliadau rhyngwladol yn achos Brwsel) wedi'u lleoli. Mae’n werth nodi bod rhai rhanbarthau yn Sbaen yn uchel ar y rhestr o ranbarthau sy'n cydweithio â Chymru. Catalwnia sydd ar y blaen ond mae Galisia a Gwlad y Basg i'w gweld ochr yn ochr â phwerau mawr ym maes ymchwil a datblygu, fel rhanbarth Munich. Yn ddiweddar, mae Llywodraeth Cymru wedi cefnogi dirprwyaeth mewn digwyddiad ar y Rhyngrwyd Pethau er mwyn atgyfnerthu’r cydweithio â rhanbarth Catalwnia ymhellach.
| Rhanbarth | Cydweithio â Chymru (14+) |
|---|---|
| Cataluña | 51 |
| Ile-de-France | 28 |
| Rhanbarth Prifddinas Brwsel | 26 |
| Lombardia | 24 |
| Comunidad de Madrid | 22 |
| Wien | 21 |
| Zuid-Holland | 21 |
| Toscana | 21 |
| Helsinki-Uusimaa | 18 |
| Aττική (Attiki) | 17 |
| Oberbayern | 16 |
| Galicia | 16 |
| Hovedstaden | 16 |
| Köln | 16 |
| Llundain Fewnol — Gorllewin | 15 |
| País Vasco | 14 |
Cynnydd hyd yma yn Horizon Ewrop
Rhwng dechrau’r rhaglen yn 2021 a’r data diwethaf ar 30 Mehefin 2024, roedd gan Gymru 106 o geisiadau wedi’u dilysu a oedd yn werth cyfanswm o £42.8 miliwn drwy warant Horizon Ewrop y DU. Fel mewn rhaglenni blaenorol, tua 2% o dderbyniadau'r DU yw'r cyllid i Gymru, sy'n fwy na Gogledd Iwerddon ond yn llai na'r Alban ac yn unol â gwariant cyffredinol Cymru ar waith ymchwil a datblygu.
Yn gyffredinol, gan gymryd cipolwg enghreifftiol fel man cychwyn, yn 2022 roedd nifer y ceisiadau wedi lleihau i tua hanner lefelau 2015 (2022 oedd y flwyddyn lawn olaf o ddata a 2015 oedd y flwyddyn olaf cyn refferendwm Brexit). Roedd nifer y prosiectau a ddewiswyd ar gyfer cyllid yn 2022 tua 90% o’r nifer yn 2015 oherwydd cyfraddau llwyddiant uwch y ceisiadau a gyflwynwyd. Gellir gweld y patrwm hwn ar lefel y DU a Chymru.
Mae’r DU wedi cael mynediad drwy gydol Horizon Ewrop fel trydedd wlad gyda chyllid drwy warant cyllid domestig, ond mae ansicrwydd ac anawsterau gwleidyddol wedi cael effaith serch hynny. Hyd at 2016, roedd y DU ar lefel debyg i’r Almaen fel un o’r gwledydd mwyaf llwyddiannus o ran ceisiadau i Horizon, ond mae bwlch wedi ffurfio, ac mae cymeradwyaethau’r Almaen bellach yn werth cyfanswm o €5.5 biliwn yn fwy.
Am beth amser, aeth yn anos cydweithio ac, er gwaethaf gwarant cyllid y DU, aeth yn anos fyth cymryd rhan pan fu oedi cyn i’r DU ymuno â’r rhaglen fel “aelod cyswllt”. Ar ôl bod â mwy o gyfranogwyr na’r un wlad arall yn 2015, syrthiodd y DU i’r 5ed safle erbyn i gyfranogwyr Horizon 2020 gael eu cadarnhau yn 2021, sef sefyllfa sydd wedi parhau yn ystod Horizon Ewrop hyd yma.
Serch hynny, mae’n galonogol bod Cymru a’r DU wedi parhau i wneud cais am gyllid a'i ennill, yn enwedig o dan ran Gwyddoniaeth Ragorol y rhaglen.
Mae'r llwyddiant parhaus yn y Cyngor Ymchwil Ewropeaidd (ERC) a Marie Skłodowska-Curie Actions (MSCA) yn dangos ymrwymiad ein prifysgolion a pherthnasedd parhaus y rhaglen i'n cymuned academaidd.
Prifysgolion sy'n sicrhau’r rhan fwyaf o gyllid Horizon Ewrop, gan ddenu arbenigedd a gwariant byd-eang yng nghanol ein trefi a’n dinasoedd ledled Cymru.
Er bod nifer y ceisiadau i'r ERC wedi lleihau yn unol â'r cyfartaledd uchod (neu’n fwy na hynny yng Nghymru), mae ceisiadau o Gymru am gymrodoriaethau bellach yn uwch na'r lefel cyn y refferendwm.
Mae’n werth nodi bod Cymru wedi cael llwyddiant yn ddiweddar gyda Grant Uwch yr ERC, sef y dyfarniad mwyaf mawreddog sydd gan y rhaglen i’w gynnig.
Cyflwynodd Cymru 102 o gynigion i Grant Uwch yr ERC yn Horizon 2020 rhwng 2015 a 2020, ond nid oedd yr un ohonynt yn llwyddiannus. Yn 2021 ar ddechrau rhaglen Horizon Ewrop, rhoddwyd cyllid i chwarter y ceisiadau o Gymru i Grant Uwch yr ERC, a chafodd prosiect arall gyllid yn 2022. Mae Uned Horizon Ewrop wedi cyllido hyfforddiant ar geisiadau i’r ERC, sydd wedi cael adborth rhagorol.
Astudiaeth achos
Llwyddodd yr Athro Michael Woods i sicrhau bron i €2.5 miliwn ar gyfer 'Anfodlonrwydd Gwledig, Cyfiawnder Gofodol a Gwleidyddiaeth Aflonyddgar yn yr Unfed Ganrif ar Hugain’ (Cyfiawnder-Gofodol-Gwledig). Bydd y prosiect yn archwilio'r berthynas rhwng anfodlonrwydd pleidleiswyr mewn ardaloedd gwledig a chefnogaeth i fudiadau gwleidyddol aflonyddgar, gan weithio gyda phartneriaid ledled Ewrop ac ym Mhrifysgol Kentucky a Phrifysgol Wisconsin Eau-Claire.
Y cyd-destun ehangach
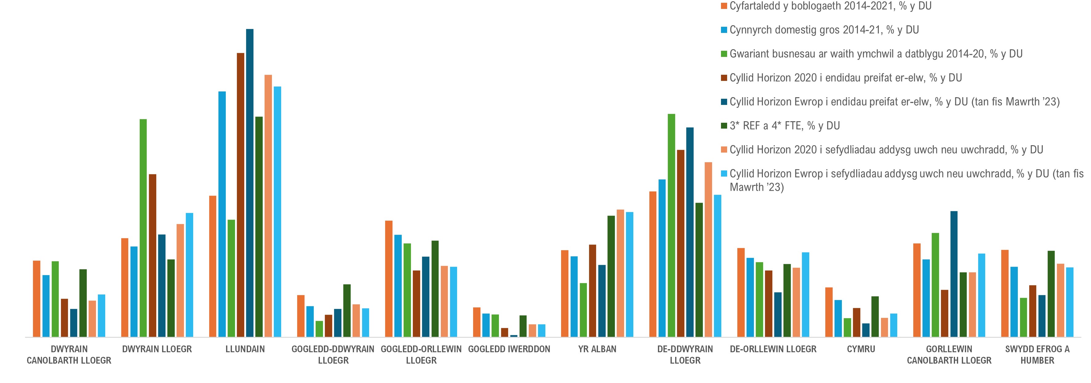
Mae’n bwysig gosod cyflawniadau Cymru yn Horizon Ewrop yng nghyd-destun capasiti cyffredinol y system ymchwil.
Mae’r holl ddangosyddion isod yn is na chanran ein poblogaeth, h.y. mae gennym nifer cymharol lai o ymchwilwyr a llai o wariant y pen gan fusnesau ar waith ymchwil a datblygu, sy’n golygu bod rhaid inni gynyddu’r sylfaen ymchwil neu fod yn fwy effeithlon na rhanbarthau eraill er mwyn cyrraedd cyfran ein poblogaeth o gyllid Horizon Ewrop.
Ar lefel sefydliadol, mae rhai’n cyflawni hyn drwy arbenigo, er enghraifft y sefydliadau addysg uwch a gafodd y mwyaf o gyllid Horizon 2020 o gymharu â’u maint oedd Ysgol Hylendid a Meddygaeth Drofannol Llundain a Choleg Gwyddoniaeth, Technoleg a Meddygaeth Imperial.
Yn Horizon 2020, gwnaeth busnesau yng Nghymru yn gymharol dda, gan berfformio’n well na chanran Cymru o wariant busnesau’r DU ar waith ymchwil a datblygu. Mae prifysgolion yng Nghymru, fel ym mhob rhanbarth heblaw’r Alban a rhanbarthau De-ddwyrain Lloegr, wedi cael llai o gyllid Horizon 2020 nag y mae eu capasiti ymchwil yn ei awgrymu o bosibl, er gwaethaf perfformiad rhagorol prifysgolion yng Nghymru ar lawer o fesurau eraill (gweler Elsevier 2021).
Mae pob sector bellach yn wynebu her i gynyddu cyfranogiad yn Horizon Ewrop.
Er bod ceisiadau unigol gan fusnesau ac ymchwilwyr wedi rhagori ar Horizon 2020 mewn rhai achosion, mae mwy o anawsterau wedi codi yn achos cronfeydd cydweithredol. Tan 2016, roedd y DU ymhlith y tair gwlad uchaf. Mae’r DU wedi syrthio i’r 8fed safle yn 2023 o dan Golofn 2 Horizon Ewrop.
Mae hyn yn wir hyd yn oed mewn perthynas â chydweithio â’n cymdogion yn Iwerddon, sy'n rhannu’r Ardal Deithio Gyffredin â ni.
Serch hynny, mae cyfraddau llwyddiant ar gyfer y DU wedi codi, gan helpu i adennill rhywfaint o dir o gymharu â Horizon 2020. Yng Nghymru, nid yw’r cynnydd mewn cyfraddau llwyddiant wedi gwneud cymaint i adfer y sefyllfa.
Yn wahanol i rannau cydweithredol Horizon Ewrop, mae Cymru eisoes wedi rhagori ar ei pherfformiad yn Horizon 2020 yng nghronfa Sbarduno’r Cyngor Arloesi Ewropeaidd ar gyfer busnesau unigol. Mae tri chwmni yng Nghymru wedi denu buddsoddiad gwerth rhwng £1 miliwn a £2 miliwn fesul busnes gan yr UE ac mae rhagor yn gwneud cais.
Gan fod y DU bellach yn rhan wirioneddol o Horizon Ewrop unwaith eto, mae’n hanfodol ein bod yn gwneud popeth o fewn ein gallu dros y pedair blynedd nesaf i fanteisio i’r eithaf ar fynediad y DU at y rhaglen.
Er mwyn cael mwy o fudd o Horizon Ewrop, gall Cymru a'r DU gynyddu tri ffactor:
- Nifer y ceisiadau
- Cyfradd llwyddiant y ceisiadau
- Maint y ceisiadau hynny (€ i’r partner yng Nghymru)
Mae'r elfennau sy'n ysgogi'r ffactorau hyn yn strwythurol ac yn amgylchiadol. Mae pwysigrwydd cymharol pob un yn amrywio yn dibynnu ar ba ran benodol o’r rhaglen sydd dan sylw.
Byddwn yn dadansoddi’r elfennau hyn yn yr adran ganlynol.
Horizon Ewrop: ffactorau allweddol
Ceisiadau
Er mwyn i Gymru gyfrannu at Horizon Ewrop ac er mwyn i’r rhaglen gael effaith ar Gymru, rhaid i’n sefydliadau gyflwyno ceisiadau. Y gwledydd mwyaf llwyddiannus o ran cyllid y pen yw’r gwledydd sy'n cyflwyno’r nifer mwyaf o geisiadau hefyd: Lwcsembwrg, Cyprus, y Ffindir, Norwy, Estonia, Denmarc, Iwerddon, Gwlad Belg, Slofenia a Gwlad Groeg (o’r 30 o wledydd sydd â’r nifer absoliwt mwyaf o geisiadau, wedi’u trefnu yn ôl cyllid y pen). Mae gan rai o’r rhain gyfraddau llwyddiant uchel, ac nid yw hynny'n wir am rai eraill.
O ran nifer y ceisiadau, mae’n ymddangos bod Cymru wedi dioddef yn sgil ymaelodi â Horizon Ewrop yn hwyr, yn yr un ffordd â’r DU gyfan yn fras. Bu lleihad yn nifer y ceisiadau o Gymru a’r DU o 2016 ymlaen ac, erbyn 2022, roedd ar tua hanner lefel 2015.
Yn y cyd-destun anodd hwn, mae Cymru wedi cynyddu ei chyfran o’r cynigion a gyflwynir o’r DU, gan gyrraedd dros 4%. Mae hyn yn uwch na chanran Cymru o geisiadau ymchwil ac arloesi’r DU yn gyffredinol. Er gwaethaf yr ansicrwydd ynghylch y rhaglen ers blynyddoedd, mae ymgeiswyr yng Nghymru yn dal wedi gwneud ymdrech aruthrol i gyflwyno 670 o gynigion.
Mae Cymru'n cyflwyno dros 5% o gynigion Colofn 1 (Gwyddoniaeth Ragorol) y DU – mae ein hymgeiswyr rhagoriaeth ymchwil a symudedd yn ymwneud yn gymharol dda â'r rhaglen. Yn wir, gwnaeth nifer ein ceisiadau cymrodoriaeth MSCA aros yr un fath â’r lefel cyn Brexit, fwy neu lai (er bod y cyfraddau llwyddiant yn y rhan hon o’r rhaglen yn gymharol isel).
Yng Ngholofn 3, sef y Cyngor Arloesi Ewropeaidd (EIC) y mae cynigion o Gymru ar eu hisaf, sef 2% o’r DU, ond mae hyn yn cyd-fynd â’n cyfran o Wariant Busnesau’r DU ar Ymchwil a Datblygu yn gyffredinol.
O eleni ymlaen, Llywodraeth Cymru fydd cynrychiolydd Cymru yn Rhwydwaith Menter Ewrop (EEN) ac rydym eisoes yn gweithio gydag ymgeiswyr i’r EIC, yn ogystal â helpu busnesau i gydweithio drwy Gymorth Arloesi Hyblyg SMART a dirprwyaethau arloesi tramor.
Yn ein sgyrsiau â rhanddeiliaid, rydym wedi clywed naratif sy’n esbonio’r lleihad yn nifer y ceisiadau, ynghyd â diddordeb parhaus gan garfan benodol. Fel y nodwyd yn ein hadroddiad terfynol ar Horizon 2020, mae cydberthyniad rhwng Brexit a lleihad sylweddol cychwynnol. Cafodd COVID-19 effaith ar ffurfio cysylltiadau rhyngwladol, gydag effaith ar ymchwilwyr gyrfa gynnar a busnesau yn arbennig. Roedd arwyddion o adferiad pan ddaeth y newyddion bod cytundeb wedi’i wneud, ond gwnaeth yr oedi dilynol cyn i’r DU ymaelodi danseilio morâl a hyder, gan atal adfywiad a chael effaith bellach ar geisiadau. Croesawyd y warant gan y DU ond nid oedd yn ddigon i chwalu drwgdybiaeth ac ansicrwydd, nid yn unig yn y DU ond ymhlith partneriaid rhyngwladol a oedd yn gweld risg a baich gweinyddol.
Yn y cyfamser, roedd gan yr ymchwilwyr a’r sefydliadau hynny sydd â chydberthnasau digon agos, a ddatblygwyd dros ddegawdau, yr hyder a’r gallu i barhau, gan ddefnyddio gwarant y DU, eu staff cymorth profiadol a’u cydgysylltwyr tramor cyfarwydd. Mae’r craidd hwn o ymgeiswyr mynych wedi cynnal lefel o weithgarwch a chyfraddau llwyddiant uwch gan ei bod yn debygol bod llai o geisiadau tybiannol wedi cael eu gwneud yn ystod cyfnodau o ansicrwydd.
Ymddengys nad oedd gan gynifer o fusnesau gydberthynas sefydlog o'r fath, o gymharu â phrifysgolion a sefydliadau yn y sector cyhoeddus. Serch hynny, mae busnesau yng Nghymru wedi bod yn fwy llwyddiannus yn y rhannau o Horizon Ewrop nad ydynt yn gydweithredol, gan ennill miliynau o Ewros o gronfa sbarduno'r EIC a rhagori ar eu cyfanswm yn Horizon 2020 yn barod.
Mae’n gofyn llawer i sefydliadau ddyblu nifer eu ceisiadau yn ystod cyfnod pan fydd llawer ohonynt dan bwysau ariannol, wedi colli rhai aelodau o staff arbenigol o’r UE, ac yn ailddatblygu rhwydweithiau a chapasiti ymchwil ar ôl colli cronfeydd strwythurol. Nid yw’r sefyllfa’n debygol o newid dros nos, ond mae llawer iawn o frwdfrydedd dros y rhaglen a byddwn yn cefnogi hynny.
- Nifer y ceisiadau yw’r metrig allweddol ar gyfer Cymru ar hyn o bryd, a gellir dadlau bod angen dyblu nifer y ceisiadau.
- Mae sefydliadau yng Nghymru wedi parhau i gyflwyno ceisiadau drwy gydol yr ansicrwydd: 670 o gynigion i Horizon Ewrop mewn ychydig dros ddwy flynedd.
- Mae nifer y ceisiadau am gymrodoriaethau wedi aros yr un faint, ac mae niferoedd mathau eraill o geisiadau wedi lleihau.
- Gan fod y DU bellach yn aelod cyswllt o’r rhaglen, rydym yn disgwyl i nifer y ceisiadau gynyddu.
Ansawdd
Mae Cymru wedi cael cyfradd llwyddiant o 13% yn gyffredinol hyd yma yn Horizon Ewrop, o gymharu ag 19% yn y DU. Fodd bynnag, mae cyfran fawr o geisiadau o Gymru yn colli allan ar gyllid o drwch blewyn yn unig.
Mewn cyd-destun rhyngwladol, mae cyfraddau llwyddiant gwledydd yn amrywio’n fawr o sero i 100%, ond 17% yw’r cyfartaledd yn Horizon Ewrop. Mae hyn yn uwch nag yn y rhaglen flaenorol, a oedd â chyfartaledd o 12%.
Er mwyn deall y cyfraddau hyn, rhaid inni edrych ar fanylion gwahanol rannau o’r rhaglen. Ceir amrywiadau mawr dros amser a rhwng themâu, yn enwedig mewn setiau data llai fel yng Nghymru.
Mae cynllun Cymrodoriaethau Ôl-ddoethurol Marie Skłodowska-Curie (MSCA) yn dylanwadu'n fawr ar gyfradd llwyddiant Cymru. Mae llawer o alw am y cynllun ymhlith ymchwilwyr sy'n dymuno dod i Gymru, ond dim ond 10% yw'r gyfradd llwyddiant. O holl ranbarthau’r DU, Cymru sydd â’r gyfradd uchaf o ran mwy o geisiadau na nifer y dyfarniadau sydd ar gael ar gyfer y rhan hon o’r rhaglen: ni roddwyd cyllid i 96% o gynigion rhagorol.
Ar y cyfan, roedd bron i 60% o geisiadau o Gymru dros y trothwy ansawdd, a byddent wedi cael cyllid pe bai mwy o gyllideb ar gael.
Rydym wedi bod yn gweithio gyda phrifysgolion i gynyddu nifer y ceisiadau rhagorol a gaiff gyllid. Mae Prifysgol Aberystwyth wedi cael ei blwyddyn orau eto o ran Cymrodoriaethau Ôl-ddoethurol MSCA yn 2023, yn dilyn cymorth gan Lywodraeth Cymru ar gyfer ysgol haf ac ymgynghoriaeth ar ‘fireinio ceisiadau’.
Astudiaeth achos
Mae Dr Sathiyanarayanan Ganesan o Brifysgol Neuchâtel yn ymuno â'r Athro Sandra Esteves o Brifysgol De Cymru o ganlyniad i grant Cymrodoriaeth Ôl-ddoethurol MSCA gwerth £200,000, a dalwyd drwy Warant UKRI. Bydd hyn yn golygu y bydd modd i waith fynd rhagddo ar broses biodechnoleg newydd ar gyfer troi CO2 yn bolyesterau mewn modd cynaliadwy. Nod y prosiect yw dangos y dechnoleg lân hon ar y cam peilot, a fyddai’n helpu i ddatblygu diwydiant biotechnoleg y DU a’r UE.
Graddfa
Mae graddfa’n cyfeirio at swm y cyllid gan yr UE fesul prosiect ac mae’n rhoi syniad o faint a rôl sefydliadau yng Nghymru.
Ar y cyfan, nid yw’r gwerthoedd yn amrywio llawer yng Ngholofn 1, lle mae meintiau cymrodoriaethau a dyfarniadau’r ERC yn gyson. Yn y rhan gydweithredol o’r rhaglen sy’n seiliedig ar heriau, sef Colofn 2, nid yw graddfa dyfarniadau i Gymru wedi lleihau. Y dyfarniad Colofn 2 cyfartalog i sefydliadau yng Nghymru hyd yma o dan Horizon Ewrop yw €456,000. Y ffigur cyfatebol yn Horizon 2020 oedd €438,000 ar ôl 2016, a €382,000 rhwng 2014 a 2016 (Er mwyn cymharu tebyg at ei debyg, mae Horizon 2020 yn cynnwys Colofn 2, Arweinyddiaeth Ddiwydiannol, a Cholofn 3, Heriau Cymdeithasol).
Yng Ngholofn 3, mae Cymru wedi ennill mwy o ddyfarniadau mawr yn Horizon Ewrop nag yn Horizon 2020 o ganlyniad i lwyddiant yn y gronfa Sbarduno (tua €2 miliwn fesul busnes).
Er bod nifer y ceisiadau wedi lleihau, mae’n gadarnhaol bod arbenigedd yng Nghymru yn cael ei gydnabod gan bartneriaid yng ngraddfa’r cyfraniad yn y prosiectau llwyddiannus; efallai fod hyn yn adlewyrchu cryfder y gydberthynas sy'n angenrheidiol er mwyn ymuno â chonsortiwm yn ystod cyfnod o ansicrwydd.
Perfformiad ar draws sectorau
Cyfranogiad busnesau
Nid yw’n cael ei werthfawrogi’n aml fod busnesau yng Nghymru wedi gwneud yn dda iawn yn rhaglen Horizon 2020, gyda mwy o gyfranogiad o’r sector preifat yma nag yn y DU yn gyffredinol - tua thraean o’n holl gyfranogiad a chwarter ein cyllid. Bryd hynny, yn rhannau cydweithredol y rhaglen (Colofn 2) roedd llwyddiant ein busnesau i raddau helaeth.
Mae’r darlun hwn wedi newid yn Horizon Ewrop hyd yma. Er bod yr un ddeinameg yn effeithio ar y DU gyfan, roedd gan Gymru gyfran fwy o gyfranogiad cydweithredol o’r sector preifat yn wreiddiol ac felly mae wedi cael ei tharo’n galetach.
Ym maes technolegau digidol y mae bron hanner y cyfranogiadau gan sefydliadau'r sector preifat yng Nghymru mewn prosiectau cydweithredol hyd yma (7 o 16). Y categori uchaf wedyn ar gyfer y sector preifat yw rhwydweithiau doethurol. Mae hyn yn tynnu sylw at bwynt pwysig bod cyfranogiad diwydiannol yn hanfodol yn y rhannau o'r rhaglen sy'n ymdrin â gyrfaoedd ymchwilwyr.
Mae Cymru wedi llwyddo i ddenu mwy o fuddsoddiad o gronfa Sbarduno’r Cyngor Arloesi Ewropeaidd (EICA) nag erioed o’r blaen. Mae Momentum Bioscience Ltd, Alesi Surgical Ltd ac Afon Technology Ltd yn gwmnïau sydd wedi cael llwyddiant gwerth dros £6.3 miliwn. Drwy Dîm Arloesi Llywodraeth Cymru, rydym yn gweithio gyda chyflenwad cadarn o fusnesau cymwys. Mae gan Lywodraeth Cymru femorandwm cyd-ddealltwriaeth ag Innovate UK a fydd yn helpu i gefnogi busnesau arloesol ymhellach, ochr yn ochr â Chymorth Arloesi Hyblyg SMART Llywodraeth Cymru.
Astudiaeth achos
Cwmni yng Nghas-gwent sydd wedi datblygu monitor glwcos y gellir ei wisgo yw Afon Technology Ltd. Gwnaeth gais i’r EICA am gyllid a dyfarnwyd €2.4 miliwn iddo. Mae’r synhwyrydd a wisgir ar yr arddwrn yn defnyddio golau i fonitro glwcos mewn amser real heb oedi. Nid yn unig y gallai’r ddyfais ddileu’r angen am brofion gwaed rheolaidd, ond bydd hefyd yn cynnig ffordd gyfleus a di-boen i bobl â diabetes fonitro lefelau glwcos yn eu gwaed.
CYFRANOGIAD y sector Cyhoeddus
Mae'r GIG yn ased pwysig sy'n gwneud y DU yn bartner deniadol iawn ar gyfer gwaith ymchwil a datblygu ym maes gwyddorau bywyd. Mae ei ddata, ei raddfa a’i amgylchedd rheoleiddiol yn cynnig manteision, ac mae’r heriau y mae gwasanaethau iechyd yn eu hwynebu yn gofyn am wyddoniaeth ac arloesedd. Yn Horizon Ewrop, mae tri phrosiect o Gymru sy'n cynnwys y GIG ac, yn gyffredinol, mae cyfranogwyr o’r sector cyhoeddus yn ffurfio cyfran fwy o gyfranogwyr yng Nghymru nag yn y DU gyfan. Mewn cyferbyniad, cymharol ychydig o Sefydliadau Ymchwil a Thechnoleg / Sefydliadau Ymchwil y Sector Cyhoeddus sydd yng Nghymru.
Ar hyn o bryd, nid oes awdurdodau lleol yn rhan o Horizon Ewrop, ond maent yn gymwys ac mae rhannau penodol o'r rhaglen sy'n ceisio cyfranogiad llywodraethau. Er enghraifft, mae’r Cenadaethau'n gwahodd awdurdodau i gysoni eu hymdrechion â rhai’r UE. Caiff llywodraethau eu croesawu’n aml gan fod ganddynt asedau ffisegol a buddsoddiadau cyfochrog, er enghraifft meysydd profi, asedau anniriaethol fel data a gwybodaeth, a’r gallu i fabwysiadu canlyniadau mewn polisïau. Fodd bynnag, er mwyn cymryd rhan, mae angen cyfeirio adnoddau at gydweithio ac arloesi heb sicrwydd o lwyddiant, sy’n gallu bod yn anodd pan fydd gwasanaethau dan bwysau. Rydym yn gobeithio gweld mwy o gyrff cyhoeddus yn cymryd rhan yn y dyfodol.
Astudiaeth achos
Mae Bwrdd Iechyd Prifysgol Hywel Dda wedi cael £168,268 o gyllid drwy Warant Horizon Ewrop UKRI ar gyfer ei waith ym mhrosiect DYNAMO Horizon Ewrop. Mae’r prosiect gwerth €5 miliwn hwn yn dod â phedwar caffaelwr ynghyd o’r Eidal, Sbaen, Portiwgal a Gwlad Groeg i greu prosesau iechyd a gofal cyflym sy’n seiliedig ar ddata er mwyn sicrhau y caiff gwasanaethau eu darparu pan fydd bygythiad i swyddogaethau’r system iechyd. Bydd yn helpu i gynllunio tasgau a chyfateb sgiliau yn ystod cyfnodau o argyfwng ac yn helpu i feithrin cadernid systemau gofal iechyd yr UE er mwyn ymateb i fygythiadau i iechyd y cyhoedd yn well nag y gallant wneud hynny heddiw.
Mae’r Bwrdd Iechyd wedi cael £266,860 yn rhagorar gyfer cymryd rhan yn Invest4Health. Mae'r prosiect hwn yn canolbwyntio ar baratoi modelau cyllid newydd er mwyn hybu iechyd ac atal clefydau. Bydd rhannu risgiau ac adnoddau er mwyn buddsoddi ar raddfa yn helpu i fynd i’r afael â phwysau cyllidebol ar ofal iechyd a chymell ffyrdd newydd o gyllido gwaith hybu iechyd ac atal clefydau.
Dywedodd yr Athro Chris Hopkins, Pennaeth Arloesedd a Sefydliad TriTech:
Rydyn ni’n edrych ymlaen yn fawr at gymryd rhan yn y prosiectau hyn a gweithio gyda phartneriaid ledled Ewrop. Mae’r ddau brosiect yn cynnig cyfle i ddatblygu a gwella systemau er mwyn cefnogi gofal iechyd a chynllunio ar lefel leol a chenedlaethol. Rydyn ni'n gobeithio y bydd y prosiectau hyn yn fodd i gydweithio a gweithio'n effeithlon, gan arwain at well iechyd i Gymru.
Prifysgolin
Prifysgolion yw canolbwynt cyfranogiad yn Horizon Ewrop yng Nghymru ar hyn o bryd, gan eu bod wedi denu tua thri chwarter y cyllid hyd yma. Yng Ngholofn 1, Gwyddoniaeth Ragorol, y mae’r rhan fwyaf o hyn. Maent yn rhan gref o’n system ac maent yn aml wedi gweithio mewn partneriaeth â chwmnïau a’r llywodraeth. Ni allwn laesu dwylo – er gwaethaf y llwyddiant, mae heriau yn ein hwynebu.
Fel y nodwyd yn ein hadroddiad terfynol ar Horizon 2020, nid oes gan bob prifysgol ledled y DU yr un effeithlonrwydd o ran troi gwaith ymchwil o safon uchel y Fframwaith Rhagoriaeth Ymchwil (REF) yn gyllid Horizon Ewrop. Mae'n bosibl bod rhai meysydd ymchwil yn cyd-fynd yn well â ffynonellau cyllid eraill. Serch hynny, mae’n debygol bod adnoddau heb eu defnyddio yn ein prifysgolion. Yn benodol, mae ymchwilwyr gyrfa gynnar wedi treulio sawl blwyddyn yn gweithio drwy heriau COVID-19 a Brexit. Ar ben hynny, mae recriwtio staff/myfyrwyr o'r UE yn fwy heriol nag o’r blaen. Mae hyn yn golygu bod llai o rwydweithiau Ewropeaidd yn cael eu mewnforio neu eu datblygu er mwyn gallu llunio ceisiadau. Gall cyfyngiadau ariannol ar brifysgolion hefyd gael effaith a gall cynnydd mewn oriau addysgu effeithio ar allu staff i wneud gwaith ymchwil. Hefyd, ceir cwestiwn ynglŷn â chapasiti gweinyddol ac arbenigedd ym maes cydgysylltu gan fod prosiectau Horizon Ewrop yn gofyn am gryn dipyn o brofiad ac adnoddau gweinyddol. Mae gan gyllidwyr a phrifysgolion ran i’w chwarae er mwyn creu gofod ar gyfer cydweithio rhyngwladol.
Mae hefyd angen addasu i’r cyfeiriad y mae pethau'n symud iddo o fewn Horizon Ewrop a chronfeydd eraill. Gyda chystadleurwydd diwydiannol, amddiffyn, y rhaniad arloesedd, pwysau cyllidol ac iechyd sy'n effeithio ar lawer o wledydd, gall rhaglenni ymchwil dueddu tuag at fwy o bwyslais ar effeithio ar yr heriau cymdeithasol hyn.
Mae'n amlwg bod prifysgolion yng Nghymru yn benderfynol o fynd i'r afael â'r heriau hyn: mae Rhwydwaith Arloesedd Cymru (WIN) wedi dod â grwpiau ymchwil ynghyd mewn themâu â blaenoriaeth er mwyn cynyddu cyllid cystadleuol. Mae Addysg Uwch Cymru Brwsel (WHEB) yn weithgar o ran helpu prifysgolion i ddylanwadu ar ddatblygiadau Ewropeaidd a chael mynediad at Horizon Ewrop. Mae WHEB, Cymdeithas Ddysgedig Cymru a WIN wedi datblygu neu gynnal cronfeydd dwyochrog gyda gwledydd eraill yn ddiweddar. Mae gan bob prifysgol swyddogion Ewropeaidd sy'n gweithio i gefnogi staff y brifysgol o ymgyfarwyddo cynnar i hawliadau ariannol. Mae Uned Horizon Ewrop Llywodraeth Cymru yn cefnogi hyn drwy ddarparu cyllid sbarduno, gwneud gwaith dadansoddi a chydgysylltu cymorth lle bynnag y bo modd.
Astudiaeth achos
Mae Prifysgol Caerdydd wedi cael €820,000 o grant gwerth €4.2 miliwn gan Rwydweithiau Doethurol Marie Skłodowska-Curie Actions Horizon Ewrop, er mwyn datblygu technolegau ynni adnewyddadwy mwy effeithlon a dibynadwy.
Nod ADOreD (cyflymu’r defnydd o ynni gwynt ar y môr gan ddefnyddio technoleg cerrynt union) yw hyfforddi 15 o fyfyrwyr rhyngwladol er mwyn creu cronfa o arbenigwyr ynni hynod fedrus a chyflogadwy. Bydd y prosiect yn dod â 19 o sefydliadau ynghyd o naw gwlad ledled y DU, Tsieina ac Ewrop.
Mae'r consortiwm wedi datblygu drwy gyfres o brosiectau llwyddiannus yn y gorffennol, a hynny i gyd dan arweiniad yr Athro Jun Liang yn yr Ysgol Beirianneg.
Mae’r rhain yn cynnwys MEDOW (grid cerrynt union aml-derfynell ar gyfer ynni gwynt ar y môr) rhwng 2013 a 2017, a arweiniodd at InnoDC (offer arloesol ar gyfer ynni gwynt ar y môr a gridiau cerrynt union) rhwng 2017 a 2021.
Perfformiad yn ôl colofn
Cyflwyniad i strwythur a chyllideb Horizon Ewrop
Mae Horizon Ewrop yn defnyddio strwythur tebyg i Horizon 2020, gan fod tair “colofn” allweddol.
Mae'r golofn gyntaf, sef Gwyddoniaeth Ragorol, ac, i raddau helaeth, y drydedd golofn, sef Ewrop Arloesol, yn agored i geisiadau mewn unrhyw faes ymchwil neu arloesedd. Eu ffocws yw rhagoriaeth ymchwilwyr a thwf cwmnïau sy'n seiliedig ar arloesedd yn y drefn honno.
Ystyrir yn aml mai’r ail golofn yw craidd Horizon Ewrop. Dyma’r fwyaf o’r tair colofn allweddol a dyma lle mae consortia o ymgeiswyr o wahanol wledydd yn mynd i’r afael â heriau polisi Ewropeaidd a byd-eang gyda’i gilydd. Mae’r meysydd polisi hyn yn cyd-fynd yn dda â Strategaeth Arloesi Llywodraeth Cymru.
Edrychwn ar gyfranogiad Cymru ym mhob colofn isod.
| Colofnau Horizon Ewrop. | Cyfanswm (mewn € miliwn) 95, 517 |
|---|---|
| Gwyddomiaeth Ragorol | 25,011 |
| Y Cyngor Ymchwil Ewropeaidd (ERC) | 16,004 |
| Marie Skłodowska-Curie Actions (MSCA) | 6,602 |
| Seilwaith ymchwil | 2,406 |
| Heriau byd-eang a chystadleurwydd diwydiannol ewrop | 53, 516 |
|---|---|
| Iechyd | 8,246 |
| Diwylliant, creadigrwydd a chymdeithas gynhwysol | 2,280 |
| Diogelwch Sifil i Gymdeithas | 1,596 |
| Digidol, Diwydiant a’r Gofod | 15,349 |
| Hinsawdd, Ynni a Symudedd | 15,123 |
| Bwyd, Bioeconomi, Adnoddau Naturiol, Amaethyddiaeth a’r Amgylchedd | 8,952 |
| Camau gweithredu uniongyrchol anniwclear y Ganolfan Ymchwil ar y Cyd (JRC) | 1,970 |
| Ewrop arloesol | 13, 597 |
|---|---|
| Y Cyngor Arloesi Ewropeaidd (EIC) | 10,105 |
| Ecosystemau arloesedd Ewropeaidd | 527 |
| Y Sefydliad Ewropeaidd ar gyfer Arloesedd a Thechnoleg (EIT) | 2,965 |
| Ehangu cyfranogiad ac atgyfnerthu’r maes ymchwil ewropeaidd | 3, 393 |
|---|---|
| Ehangu cyfranogiad a lledaenu rhagoriaeth | 2,955 |
| Diwygio a gwella’r System Ymchwil ac Arloesedd Ewropeaidd | 438 |
Gwyddoniaeth ragorol
Mae Cymru wedi cyflawni tua hanner ei chyfranogiad hyd yma drwy’r golofn hon yn y rhaglen. Mae hyn yn bennaf oherwydd prosiectau prifysgolion yn y Cyngor Ymchwil Ewropeaidd (ERC) a chynlluniau symudedd a hyfforddi ymchwilwyr MSCA.
O dan yr ERC yn Horizon Ewrop, mae Cymru wedi cyflwyno 72 o gynigion cymwys ac mae wyth ohonynt wedi cael eu dewis ar gyfer cyllid; cyfradd llwyddiant o 11% (sy’n uwch na’r 6% o dan Horizon 2020 ond yn dal yn is nag 17% y DU). Mae’r rhain yn brosiectau mawr; mae’r grant y gofynnwyd amdano ar gyfer y prosiectau llwyddiannus yn werth bron i €13 miliwn.
Daw llwyddiant Cymru drwy Brifysgol Caerdydd, Prifysgol Abertawe, Prifysgol Aberystwyth a chyfranogiad gan Gomisiwn Brenhinol Henebion Cymru.
Mae hyn yn dangos bod Cymru yn dal i fod yn gyrchfan ddeniadol i ymchwilwyr o bob cwr o'r byd, a bod prifysgolion Cymru yn dal i allu gweithio ar nifer mawr o geisiadau.
Mae Colofn 1 hefyd yn cynnwys Seilwaith Ymchwil. Mae'r rhan hon o'r rhaglen yn darparu cyfleusterau ymchwil cynaliadwy sy'n gystadleuol yn fyd-eang. Mae hyn yn cynnwys seilwaith rhithiol sy’n gweithredu ar draws disgyblaethau a ffiniau cenedlaethol, fel cyfranogiad Blue Lobster IT Ltd ym mhrosiect AquaINFRA.
Astudiaeth achos
Mae cwmni Blue Lobster IT Limited, sydd wedi’i leoli yn Ynys Môn, yn arbenigo mewn ymgynghoriaeth meddalwedd a chyfathrebu ar gyfer sector y gwyddorau amgylcheddol. Dros y 18 mlynedd diwethaf, mae wedi cymryd rhan weithredol mewn dros 30 o brosiectau Horizon ac FP7. Mae ei brosiectau cydweithredol yn ymestyn i asiantaethau’r llywodraeth, sefydliadau addysgol, cyrff anllywodraethol, ac arweinwyr diwydiant.
Mae Mr Simon Keeble, Cyfarwyddwr Peirianneg Meddalwedd a Chyfathrebu, yn pwysleisio rôl hollbwysig cronfeydd yr UE a fframwaith Horizon Ewrop. Heb y cymorth hwn, byddai prosiect diweddar AquaINFRA y cwmni yn wynebu heriau sylweddol. Gallai diffyg cyllid gyfyngu ar y gallu i gydweithio â phartneriaid Ewropeaidd, gan amharu ar gyfleoedd i ddod i gysylltiad â syniadau a dulliau amrywiol ym maes y gwyddorau amgylcheddol. Ar ben hynny, gallai cyfyngiadau ariannol leihau cyfraniad y cwmni at fentrau amgylcheddol hanfodol, gan effeithio ar gynnydd gwyddonol Ewrop.
Mae goblygiadau pellgyrhaeddol i gyfranogiad Blue Lobster ym mhrosiect AquaINFRA Horizon Ewrop. Mae arweiniad y cwmni yn y pecyn gwaith Amgylchedd Data Cyffredin a’r gwaith o ddatblygu Gofod Data AquaINFRA a Gwasanaethau Darganfod Data a Mynediad yn cadarnhau ei safle fel cyfranogwr allweddol yn sector y gwyddorau amgylcheddol. Mae’n bwriadu defnyddio’r profiad hwn wrth gydweithio ac arloesi yn y dyfodol, a hynny mewn ffordd sy’n cyd-fynd â’i arbenigedd.
Mae’r prosiect hwn yn garreg filltir arwyddocaol yn hanes Blue Lobster IT Limited, gan adlewyrchu ei ymrwymiad i wyddor yr amgylchedd, cydweithio ac arloesi. Wrth edrych tua’r dyfodol, mae’n edrych ymlaen yn eiddgar at ddatgloi rhagor o gyfleoedd drwy AquaINFRA, gan ei alluogi i wneud cyfraniad mwy sylweddol fyth at ddatblygiadau amgylcheddol.
Heriau byd-eang a chystadleurwydd diwydiannol ewrop
Mae’r rhan hon o’r rhaglen yn cefnogi cydweithio byd-eang.
Digidol, Diwydiant a’r Gofod sydd wedi gweld y llwyddiant mwyaf ym mlynyddoedd cynnar y rhaglen. Y rhan hon o’r rhaglen sydd wedi denu’r mwyafrif llethol o gynigion o Gymru hyd yma o dan Golofn 2. Mae’r prosiectau hyn yn cynnwys defnyddio Deallusrwydd Artiffisial ym meysydd gweithgynhyrchu a meteleg, systemau ailgylchu a rhyngweithio rhwng pobl a pheiriannau, er enghraifft wrth greu cynhyrchion cyfansawdd.
Cafwyd dechrau cadarnhaol ym maes iechyd hefyd, gyda phum prosiect yn cynnwys Prifysgol Caerdydd, tri yn cynnwys Prifysgol Bangor a thri yn cynnwys y GIG, yn ychwanegol i gyfranogiadau Prifysgol Abertawe a Phrifysgol Aberystwyth. Mae’r prosiectau hyn yn cynnwys deall iechyd meddwl ymhlith pobl ifanc, hybu iechyd y glasoed mewn ffordd sy’n canolbwyntio ar deuluoedd, diagnosis o ddiabetes, therapi diwedd oes ac eraill.
Mae Bwyd, Bioeconomi, Adnoddau Naturiol, Amaethyddiaeth a’r Amgylchedd yn glwstwr eang sydd wedi bod yn faes cryf i Gymru ers tro. Hyd yma yn Horizon Ewrop, mae Cymru wedi cyflwyno 42 o gynigion cymwys i’r rhan hon o’r rhaglen, ac mae naw wedi cael eu dewis ar gyfer cyllid (er bod 10 wedi cael cyllid mewn gwirionedd). Mae hyn yn cynrychioli cyfradd llwyddiant o 21%. Er bod hon yn gyfradd galonogol, mae’n is na chyfradd y DU gyfan (29%). Mae'r prosiectau yn y rhan hon o'r rhaglen yn cwmpasu ystod eang, gan gynnwys y rhai sy'n llywio polisi ym meysydd bwyd a materion gwledig, datblygu cnydau codlysiau, coedwigoedd, ecoleg forol, a chadwyni cyflenwi cylchol.
Ewrop arloesol
Ceir dau brif faes gweithgarwch i Gymru yn y rhan hon o'r rhaglen: y gronfa Fraenaru ar gyfer gwaith ymchwil cynnar i feysydd technolegol addawol, a'r gronfa Sbarduno sy'n helpu cwmnïau i fynd â chynhyrchion o'r cam arddangos i'r farchnad.
Yn gynharach yn yr adroddiad, gwnaethom nodi llwyddiant cadarnhaol busnesau yng Nghymru o dan yr EICA.
Mae prifysgolion yng Nghymru wedi cymryd rhan mewn tri phrosiect Braenaru o dan yr EIC hyd yma. Mae Prifysgol Caerdydd yn cymryd rhan yn Bio-HhOST sy'n archwilio Modelau Meinwe 3D y Genhedlaeth Nesaf (dyfarniad Gwarant UKRI Horizon Ewrop gysylltiedig). Mae Prifysgol Abertawe yn cymryd rhan mewn dau brosiect Braenaru o dan yr EIC. Nod DAM4CO2 yw ymchwilio i ffyrdd o drosi’r carbon deuocsid a gaiff ei allyrru gan ddiwydiannau yn danwyddau adnewyddadwy (dyfarniad Gwarant Horizon Ewrop), ac mae BMRex yn brosiect Ewropeaidd sydd wedi’i ddylunio i ddatblygu technoleg ar gyfer tynnu a diraddio nanoblastigau a microblastigau (dyfarniad Gwarant Horizon Ewrop).
Rhannau eraill o’r rhaglen
Ehangu cyfranogiad ac atgyfnerthu’r Cyngor Ymchwil Ewropeaidd.
Mae Horizon Ewrop yn ceisio rhoi hwb i waith ymchwil a pherfformiad ym maes arloesedd ledled yr Undeb Ewropeaidd. Mae camau ehangu yn cefnogi gwledydd yr UE sy'n parhau i fod ar ei hôl hi o ran gwaith ymchwil ac arloesi.
Prin yw’r cynigion o Gymru ar gyfer y rhan hon o’r rhaglen hyd yma (11), ond maent wedi sicrhau llwyddiant da (27%).
Mae hyn yn cynnwys Cyfoeth Naturiol Cymru yn ymuno ag Asiantaethau Diogelu’r Amgylchedd a phartneriaid tebyg o 13 o wledydd yn Ewrop er mwyn helpu llunwyr polisïau a chymdeithasau cenedlaethol i fynd i’r afael â’r Heriau Byd-eang a'r Nodau Datblygu Cynaliadwy (CASRI).
Partneriaethau Ewropeaidd
Cyflwynodd rhaglen Horizon Ewrop genhedlaeth newydd o Bartneriaethau Ewropeaidd sy’n sianelu cyllid drwy amrywiaeth eang o gydweithredu rhwng sefydliadau cyhoeddus a sefydliadau preifat a rhwng gwahanol sefydliadau cyhoeddus a'i gilydd. Mae Cymru wedi perfformio’n dda yn y gorffennol mewn partneriaethau sy’n ymdrin â’r fioeconomi gylchol, hedfanaeth, diwydiannau prosesu a gweithgynhyrchu. Mae gennym ddiddordeb o’r newydd ym mhartneriaeth Rheilffyrdd Ewrop oherwydd y Ganolfan Ragoriaeth Fyd-eang ar gyfer Rheilffyrdd. Mae Uned Horizon Ewrop Llywodraeth Cymru wedi ymchwilio i gyfranogiad Cymru mewn partneriaethau er mwyn cyfrannu at waith mapio’r DU. Rydym hefyd wedi ystyried y potensial i gymryd rhan mewn partneriaethau a ariennir ar y cyd (lle y bydd cyrff cyllido o wahanol wledydd yn rhannu eu hadnoddau) ac wedi cefnogi ceisiadau.
Yn yr un modd, rydym wedi edrych ar gyfranogiad Cymru yn y Sefydliad Ewropeaidd ar gyfer Arloesedd a Thechnoleg ac wedi dod o hyd i ddarlun amrywiol dros amser. Rydym yn gweithio gydag eraill i ddeall y darlun llawn a hybu cyfranogiad. Gwnaethom gefnogi Nightingale HQ, sef cwmni o Bontypridd, yn ei waith gyda chanolfan Gweithgynhyrchu EIT (gweler yr astudiaeth achos).
Ceir cryn dipyn o botensial i ymgysylltu’n fwy â’r partneriaethau a’u grwpiau rhanddeiliaid diwydiannol – rydym yn annog sefydliadau sydd â diddordeb strategol mewn rhan benodol o’r rhaglen i ystyried sut i gymryd rhan yn y bartneriaeth berthnasol. Bydd grŵp rhanddeiliaid, opsiwn aelodaeth neu gronfa raeadru addas bron bob amser. Drwy ymgysylltu’n gynnar â grwpiau dylanwadol o'r fath y gall sefydliadau weld galwadau drafft a datblygu consortia.
Cenadaethau Ymchwil ac Arloesi Ledled yr UE
Ffordd newydd o fynd i’r afael â’r heriau sy’n gysylltiedig â phridd, cefnforoedd, dinasoedd, canser ac addasu i newid hinsawdd yw cenadaethau Horizon Ewrop. Mae ganddynt gyllideb weddol fach o gymharu â’r heriau a wynebir, ond maent yn ceisio ysgogi ymdrechion rhanddeiliaid er mwyn cael mwy o effaith. Ceir gorgyffwrdd â meysydd polisi yng Nghymru ac mae gweithgarwch a chyfranogiad yn cynyddu mewn rhai meysydd.
Roedd yr Athro Bridget Emmett o Ganolfan Ecoleg a Hydroleg y DU ym Mangor yn aelod o Fwrdd y Genhadaeth Pridd ac mae'n cynghori Arsyllfa Pridd yr UE.
Mae Prifysgol Bangor wedi bod yn chwilio am gyfleoedd i gyfrannu at y Genhadaeth Cefnforoedd. Gyda chyllid gan raglen Cymru Ystwyth ac arbenigedd Addysg Uwch Cymru Brwsel ar y safle, mae'r Athro Shelagh Malham wedi cynnal cyfres o weithdai er mwyn archwilio'r potensial ar gyfer mwy o waith ymchwil cydweithredol er mwyn cyflawni amcanion polisi ym Môr Iwerddon.
Cyrhaeddodd y gyfres hon o weithdai ei hanterth ym Mrwsel a Chaerdydd. Ym Mrwsel, ymunodd Pennaeth Uned y Genhadaeth Cefnforoedd â chynulleidfa amrywiol yn swyddfa Gweithrediaeth Gogledd Iwerddon. Ymunodd Coleg Prifysgol Cork a Phrifysgol Bangor â chynrychiolwyr o wahanol rannau o Iwerddon, Llydaw, Québec, Ynys Manaw a Chaint (a oedd i gyd â phrofiad o gydweithio ar draws ffin forol).
Mae tri sefydliad o amgylch Môr Iwerddon, gan gynnwys Menter Môn yn Ynys Môn a Phrifysgol Bangor, wedi cael eu dewis ers hynny i gymryd rhan mewn Gefell Digidol i'r prosiect Cefnforoedd sy’n edrych ar rannu data yng nghyd-destun y Genhadaeth Cefnforoedd.
Mynd i’r afael â rhwystrau
Financial Assistance
Mae Uned Horizon Ewrop Llywodraeth Cymru wedi parhau i roi cymorth ariannol i sefydliadau yng Nghymru drwy gydol rhaglenni Horizon 2020 a Horizon Ewrop.
Mae’r cymorth hwnnw’n parhau o dan raglen Cymru Ystwyth, drwy gymysgedd o fentrau cyllido a ‘phot agored’ ar gyfer ymyriadau Horizon Ewrop penodol.
Rydym yn croesawu ceisiadau sy’n mynd i’r afael â’r materion y tynnir sylw atynt yn yr adroddiad hwn: cyfraddau llwyddiant, nifer y ceisiadau gan fusnesau a’r sector cyhoeddus, gwella ansawdd a nifer y ceisiadau ar y cyd, er enghraifft. Gallai fod yn arbennig o ddefnyddiol creu canolbwyntiau ar gyfer ceisiadau mewn sectorau penodol, gyda chynlluniau i gynyddu dylanwad yn y rhwydweithiau perthnasol wrth baratoi ar gyfer galwadau cyllido yn 2025 a 2026.
Enghreifftiau o fentrau Cymru Ystwyth sydd ar agor ym mis Mai 2024
Menter Horizon Ewrop
Mae’n annog cynigion a fydd yn datblygu cyflenwad o geisiadau Horizon Ewrop mewn maes thematig, a hynny, yn ddelfrydol, gan gynnwys amrywiaeth o sefydliadau, fel clwstwr busnes.
Menter Môr Iwerddon
Mae wedi’i bwriadu ar gyfer sefydliadau yng Nghymru sy’n awyddus i ddatblygu partneriaethau a chydweithredu economaidd ledled rhanbarth Môr Iwerddon, er mwyn cefnogi Fframwaith Môr Iwerddon.
Menter Rhanbarthau'r UE
Ei nod yw cynyddu rhwydweithiau a chydweithredu economaidd â rhanbarthau yn yr UE fel Gwlad y Basg (Euskadi), Baden-Württemberg, Llydaw, Fflandrys, a Silesia.
Gallwch wneud cais yma neu gysylltu â thîm Cymru Ystwyth yma.
Mewn blynyddoedd blaenorol, rydym wedi cefnogi’r gwaith o archwilio heriau cymdeithasol rhwng gwahanol dimau ymchwil, ffurfio consortia ar gyfer ceisiadau am gyllid, ymgynghori er mwyn helpu i ysgrifennu neu adolygu ceisiadau, a chynnal digwyddiadau codi ymwybyddiaeth, aelodaeth o sefydliadau rhyngwladol, a hyfforddiant.
Ers ei sefydlu yn 2013, mae ein cyllid wedi helpu i sicrhau dros €21 miliwn i Gymru o Horizon 2020/Ewrop. Cyflawnwyd hyn drwy 381 o grantiau gwerth cyfanswm o £860,403 i 105 o sefydliadau unigol. Mae’r adroddiad hwn yn cynnwys nifer o enghreifftiau diweddar o sefydliadau yng Nghymru rydym wedi’u cefnogi.
Astudiaeth achos
Mae Nightingale HQ Ltd (NHQ) yn darparu offer optimeiddio ac offer a bwerir gan ddeallusrwydd artiffisial er mwyn helpu gweithgynhyrchwyr i leihau gwastraff ac allyriadau carbon cysylltiedig. Helpodd cymorth Cymru Ystwyth i ddatblygu cysylltiadau NHQ â gweithgynhyrchwyr yn Iwerddon a’r Almaen fel rhan o’i gyfranogiad mewn prosiect dwy flynedd a ariannwyd gan y Sefydliad Ewropeaidd ar gyfer Arloesedd a Thechnoleg (EIT) ac Innovate UK: Re-imagining Design & Planning for Greener Reinforcement Steel Manufacturing.
Cyfathrebu – mae Cymru yn ôl yn y rhaglen
Cafwyd rhaglen lawn ar gyfer Dydd Gŵyl Dewi 2024 ym Mrwsel gyda Horizon Ewrop yn chwarae rhan flaenllaw. Cymerodd Uned Horizon Ewrop Llywodraeth Cymru ran mewn amrywiaeth o ddigwyddiadau. Roedd hyn yn cynnwys codi ymwybyddiaeth o’r rhaglen mewn cyfarfod Gwyddor Bywyd rhwng clystyrau o Fflandrys a Chymru. Aeth y cyfarfod ymlaen i ganolbwyntio ar ffyrdd ymarferol i’r clystyrau ddod ynghyd, yn enwedig mewn perthynas â therapiwteg a diagnosteg. Gwnaeth yr Uned hefyd ariannu digwyddiad ar y Genhadaeth Cefnforoedd yn swyddfa Gogledd Iwerddon a chymryd rhan ynddo (gweler yn gynharach yn yr adroddiad hwn). Roedd cyfranogiad Addysg Uwch Cymru Brwsel (WHEB) yn allweddol er mwyn dod â'r partneriaid Ewropeaidd perthnasol ynghyd.
Mae WHEB yn parhau i drefnu ymweliadau a bwydo gwybodaeth yn ôl i brifysgolion yng Nghymru. Fe'i lleolir o fewn Llywodraeth Cymru yn Nhŷ Cymru ac mae’n gyswllt pwysig rhwng gwaith ymchwil prifysgolion yng Nghymru a rhwydweithiau a pholisïau Ewropeaidd.
Menter gan Brifysgolion Cymru a ariennir gan Lywodraeth Cymru yw Rhwydwaith Arloesedd Cymru (WIN). Mae wedi blaenoriaethu nifer o sectorau gyda’r bwriad o sicrhau mwy o grantiau cystadleuol ac mae wrthi’n chwilio am gyfleoedd o dan Horizon Ewrop.
Roedd WIN yn rhan allweddol o’r gwaith o drefnu digwyddiad pwysig ar gyfer Dydd Gŵyl Dewi lle y gwnaeth y Prif Weinidog annerch cynulleidfa o bob cwr o Ewrop. Dangosodd prifysgolion yng Nghymru eu harbenigedd, eu diddordebau a’u hawydd i gydweithio. Siaradodd llywyddiaeth gylchdro’r UE hefyd, ar ffurf Cynrychiolydd Cyffredinol Fflandrys i’r UE.
Bu Llywodraeth Cymru hefyd yn chwifio’r faner yn Uwchgynhadledd Wyddoniaeth y DU ym Mrwsel a diwrnodau ymchwil ac arloesi’r UE ym mis Mawrth.
Mae Uned Horizon Ewrop wedi cyhoeddi cylchlythyrau sy’n rhoi sylw i ddatblygiadau pwysig y rhaglen, gan gyrraedd dros 500 o bobl fesul rhifyn. Mae’r Uned hefyd wedi estyn allan i grwpiau ac unigolion, drwy gyflwyniadau, negeseuon e-bost a digwyddiadau, gan ymgysylltu â mwy na 500 mewn ychydig dros flwyddyn.
Mae'r gwaith ymgysylltu hwn yn pwysleisio bod Cymru yn gyfranogwr ymrwymedig mewn gwaith ymchwil cydweithredol rhyngwladol, gyda llawer i'w gynnig a llawer i'w ennill.
Iwerddon-Cymru
Mae hon yn berthynas bwysig a hanesyddol, ac yn un sydd mewn sefyllfa eithriadol o dda i fod o fudd i’r naill wlad a’r llall yn Horizon Ewrop.
Ym mis Hydref 2023, cyfarfu gweinidogion Cymru ac Iwerddon yng Ngogledd Cymru, fel rhan o’u Cyd-ddatganiad a Chynllun Gweithredu ar y Cyd, a gwnaethant dynnu sylw at y cyfle i gydweithio drwy Horizon Ewrop. Ym mis Ebrill 2024, helpodd Prifysgolion Cymru i noddi digwyddiad gan Siambr Fasnach Prydain ac Iwerddon ar waith ymchwil ac arloesi. Roedd y croeso a gafodd y DU gan Iwerddon yn aruthrol, ac roedd pa mor benderfynol yw’r DU i godi o’i safle presennol fel 8fed partner cydweithio amlaf Iwerddon yn Horizon Ewrop yr un mor aruthrol. Mae'r cyfle'n un gwych, nid yn unig am fod ein cysylltiadau ymchwil yn gryf, ond hefyd am fod yr Ardal Deithio Gyffredin yn galluogi staff ymchwil ac arloesi i deithio yn ôl ac ymlaen.
Dewiswyd BlueAdapt, sef prosiect dan arweiniad Gwlad y Basg sy’n cynnwys Prifysgolion Galway a Bangor, fel astudiaeth achos. Mae'r prosiect yn ymchwilio i achosion o ryngweithio rhwng iechyd a’r amgylchedd ac yn monitro ymwrthedd gwrthficrobaidd. Tynnodd y cyfranogwyr sylw at yr her sy'n gysylltiedig â cholli cyllid Cydweithredu Tiriogaethol Ewropeaidd ond roeddent yn croesawu’r cyfle i barhau i gydweithio drwy Horizon Ewrop.
Elfen bwysig arall o’r berthynas yw’r cysylltiad cryf rhwng Iwerddon ac UDA, sy’n golygu y gall ein cymydog agosaf yn yr UE fod yn bont i ddau gyfandir.
Rydym yn disgwyl datblygiadau pellach wrth i waith barhau ar ein Fframwaith Môr Iwerddon.
Cefnogi BBaChau
Mae Uned Horizon Ewrop wedi gweithio’n agos gyda Thîm Arloesi Llywodraeth Cymru i gefnogi nodau’r Strategaeth Arloesi. Er enghraifft, gyda chymorth Cymru Ystwyth, anfonodd Cymru ddirprwyaeth i ddigwyddiad byd-eang ar y Rhyngrwyd Pethau ym mis Mai 2024 yn Barcelona. Efallai y caiff y model hwn ei ail-greu mewn digwyddiadau uchel eu proffil yn y dyfodol.
Mae Uned Horizon Ewrop yn cyfarfod â BBaChau i roi cyngor arbenigol ar y rhaglen; er enghraifft, cynnal cyfweliadau ffug ar gyfer ymgeiswyr gyda Phwynt Cyswllt Cenedlaethol y DU, er mwyn eu helpu ar eu taith tuag at ddyfarniad grant mawr i Gymru.
Mae Llywodraeth Cymru yn ymgymryd â chontract Rhwydwaith Menter Ewrop, sy’n golygu bod ganddi fynediad at y rhwydwaith hwnnw, cydberthynas dda ag Innovate UK, ac adnoddau er mwyn helpu i ryngwladoli BBaChau sy’n seiliedig ar arloesedd.
Mae Menter Vanguard hefyd wedi bod yn gyfrwng pwysig ar gyfer cydweithio rhyngwladol. Mae’r partneriaid wedi lansio cronfa ar y cyd a fydd yn galluogi mwy o sefydliadau yn y rhanbarthau partner i ymgymryd â phrosiectau cydweithredol.
Ochr yn ochr â llawer o gyllidwyr arloesedd eraill ledled Ewrop, mae Llywodraeth Cymru yn ystyried cydgyllido cynlluniau sy’n defnyddio cyllid Horizon Ewrop ochr yn ochr â chronfeydd cenedlaethol i greu gwerth ychwanegol rhyngwladol.
Edrych tua’r dyfodol
Mae Llywodraeth Cymru yn dal yn ymrwymedig i ddatblygu cysylltiadau economaidd ac ymchwil agosach â’r UE ac mae Horizon Ewrop yn rhan allweddol o hynny. Bydd helpu sefydliadau yng Nghymru i gael mynediad at Horizon Ewrop yn helpu i gyflawni ein Strategaeth Arloesi a’n Strategaeth Ryngwladol.
Dyma’r newidynnau allweddol rydym yn ceisio dylanwadu arnynt:
- Nifer y ceisiadau
- Ansawdd y ceisiadau (cyfradd llwyddiant)
- Maint y ceisiadau (y cyllid y gofynnir amdano)
Yn y pen draw, yr ymgeiswyr sy'n gyfrifol am wneud cais ac, yn achos Horizon Ewrop, mae hynny’n golygu prifysgolion a busnesau arloesol yn bennaf. Wrth gwrs, bydd y gallu i wneud cais yn dibynnu ar nifer o faterion ac mae nifer o heriau’n wynebu’r ecosystem ymchwil ac arloesi. Serch hynny, byddwn yn cyfuno ein hymdrechion ag ymdrechion Llywodraeth y DU, UKRI, a'n cymheiriaid yn yr Alban a Gogledd Iwerddon.
Ar lefel Cymru, rydym bellach yn cael budd o raglenni Cymru Fyd-eang, Taith, WIN, WHEB ac EEN. Bydd Uned Horizon Ewrop Llywodraeth Cymru yn gweithio’n agos gyda’r ecosystem hon, gan gydgysylltu a hwyluso camau gweithredu yn ôl yr angen. Bydd egwyddorion Cymru Ystwyth yn ein galluogi i lifo i mewn i’r meysydd lle mae angen mwy o gymorth ac osgoi dyblygu lle mae gwaith da eisoes yn cael ei wneud gan ein partneriaid.
Yn benodol, bydd Uned Horizon Ewrop yn parhau i wneud y canlynol:
- Cyhoeddi ein cylchlythyr rheolaidd (eNewyddion Horizon)
- Cynnal ein calendr galwadau unigryw
- Cwrdd ag ymgeiswyr sydd â diddordeb er mwyn rhoi gwybodaeth gyffredinol iddynt a’u cyfeirio at y rhan gywir o’r rhaglen
- Gwneud gwaith manwl gyda rhanddeiliaid strategol ar gynlluniau ymgysylltu, gan gynnwys cymryd rhan fel arbenigwr, a dod o hyd i alwadau
- Cynnal digwyddiadau gyda phartneriaid lle mae angen a galw am ymyriad penodol o Gymru
- Cynyddu cysylltiadau rhyngwladol drwy swyddfeydd tramor Llywodraeth Cymru a chymorth Cymru Ystwyth
- Gweithio gyda thîm Arloesi Llywodraeth Cymru i gynyddu cyfranogiad o’r sector preifat
- Gweithio ym mhob rhan o Lywodraeth Cymru i dynnu sylw at ffyrdd y gall Horizon Ewrop helpu i gyflawni blaenoriaethau polisi
- Ymgysylltu’n rheolaidd â Llywodraeth y DU (yr Adran Gwyddoniaeth, Arloesedd a Thechnoleg ac adrannau eraill lle bo hynny’n berthnasol) er mwyn dylanwadu ar fentrau’r DU a chyfrannu at safbwyntiau’r DU i’r UE
- Parhau i fod yn aelod gweithredol o Rwydwaith Pwynt Cyswllt Cenedlaethol y DU
- Cael gafael ar ddata’r UE er mwyn deall patrymau cyfranogi Cymru a llywio ein camau gweithredu ni a’n partneriaid
- Defnyddio cyllid Cymru Ystwyth i gefnogi ymyriadau penodol sy’n ychwanegu gwerth at y cymorth presennol gan Lywodraeth y DU ac eraill.
- Gweithio gyda thîm Arloesi Llywodraeth Cymru i gynyddu cyfranogiad o’r sector preifat
- Gweithio ym mhob rhan o Lywodraeth Cymru i dynnu sylw at ffyrdd y gall Horizon Ewrop helpu i gyflawni blaenoriaethau polisi
- Ymgysylltu’n rheolaidd â Llywodraeth y DU (yr Adran Gwyddoniaeth, Arloesedd a Thechnoleg ac adrannau eraill lle bo hynny’n berthnasol) er mwyn dylanwadu ar fentrau’r DU a chyfrannu at safbwyntiau’r DU i’r UE
- Parhau i fod yn aelod gweithredol o Rwydwaith Pwynt Cyswllt Cenedlaethol y DU
- Cael gafael ar ddata’r UE er mwyn deall patrymau cyfranogi Cymru a llywio ein camau gweithredu ni a’n partneriaid
- Defnyddio cyllid Cymru Ystwyth i gefnogi ymyriadau penodol sy’n ychwanegu gwerth at y cymorth presennol gan Lywodraeth y DU ac eraill.
Mae’r adroddiad hwn yn tynnu sylw at dystiolaeth o feysydd amrywiol a allai gael budd o ffocws pellach
- Ceisiadau ar y cyd, gan gynnwys rhai gan brifysgolion
- Ceisiadau gan fusnesau
- Ceisiadau gan sefydliadau yn y sector cyhoeddus
- Cyfradd llwyddiant ar gyfer Colofn 1 (yn enwedig cymrodoriaethau MSCA) a chronfa Sbarduno'r EIC
Felly, byddwn yn blaenoriaethu’r meysydd hyn ar gyfer cymorth lle bo hynny’n briodol.
Mae’r ddadl ynghylch FP10 yn datblygu ac mae’n ymdrin â materion sy’n berthnasol i Gymru, yn enwedig bod yn agored i wledydd cysylltiedig yn y dyfodol. Bydd Llywodraeth Cymru yn gweithio gyda’i phartneriaid i ddylanwadu ar y ddadl honno lle bo modd. Fodd bynnag, mae gennym dasg arall i’w gwneud ar unwaith mewn perthynas â Horizon Ewrop. Nid mater o weithredu gan y llywodraeth yn unig yw hyn – mae angen i bob busnes ac ymchwilydd ystyried a allant gyd-fynd â pholisi’r UE, rhyngweithio â’r strwythurau, a gwneud cais pan fydd galwadau.
Mae lle i fod yn obeithiol. Mae ein habsenoldeb o Horizon Ewrop yn ystod y dyddiau cynnar wedi creu agwedd aruthrol o benderfynol. Mae amrywiaeth eang o gymorth ar gael.
Mae Cymru, y gwledydd datganoledig eraill a’r DU yn cydgysylltu camau gweithredu ac yn cydweithio â’i gilydd ym Mrwsel i estyn allan, ac mae ein partneriaid rhyngwladol yn gwrando.
Atodiad - sut i gymryd rhan
Dod o hyd i gyfle
Ceir amrywiaeth eang o gyfleoedd i gael cyllid o wahanol rannau o’r rhaglen, cyrchfannau a meysydd pwnc, sy'n cynnig gwahanol fathau o gamau gweithredu. Mae’n bwysig eich bod yn ymgyfarwyddo â Phorth Horizon ac yn sganio am gyfleoedd sydd ar y gorwel.
Dechrau cynllunio
Mae'n hollbwysig eich bod yn dechrau paratoi cyn gynted â phosibl. Cyn rhoi pin ar bapur, dylech astudio cynnwys yr alwad a gyhoeddwyd yn drylwyr, yn ogystal â thudalennau rhagarweiniol y Rhaglenni Gwaith er mwyn gweld sut mae eich prosiect yn gweddu i’r cyd-destun ehangach. Darllenwch yr holl ddogfennau cysylltiedig, gan ddod i ddeall y cerrig milltir a’r amserlenni angenrheidiol, a dechreuwch gynllunio!
Dod o hyd i bartneriaid
Mae’r rhan fwyaf o alwadau’n rhai cydweithredol lle mae angen consortia o bartneriaid o wahanol wledydd a sefydliadau o fewn diwydiant a’r byd academaidd. Buddsoddwch amser mewn datblygu partneriaethau amrywiol gyda'r cyfuniad angenrheidiol o gynrychiolaeth a gwybodaeth ryngwladol; mae sicrhau cydbwysedd rhwng y rhywiau o fewn timau ymchwil hefyd yn fuddiol.
Cofrestru
Cyn gwneud cais am gyllid, rhaid i’r holl sefydliadau (partneriaid) sy’n rhan o’r prosiect fod wedi'u cofrestru â’r Comisiwn Ewropeaidd yn gyntaf.
Datblygu eich cynnig
Mae cael syniad ardderchog ar gyfer prosiect yn hanfodol, ond mae troi’r syniad hwnnw’n gynnig llwyddiannus yn grefft. Cofiwch ei bod yn ofynnol i werthuswyr ystyried sawl cynnig o fewn cyfnod cyfyngedig.
Cyflwyno
Mae'n bosibl y bydd y porth cyfranogwyr yn rhedeg yn araf yn agos at y dyddiad cau; dylech lanlwytho eich cynnig i’r porth yn gynnar ac yna ei ddiweddaru gynifer o weithiau ag y bydd angen tan y dyddiad cau (cofiwch y gwahaniaeth amser).
